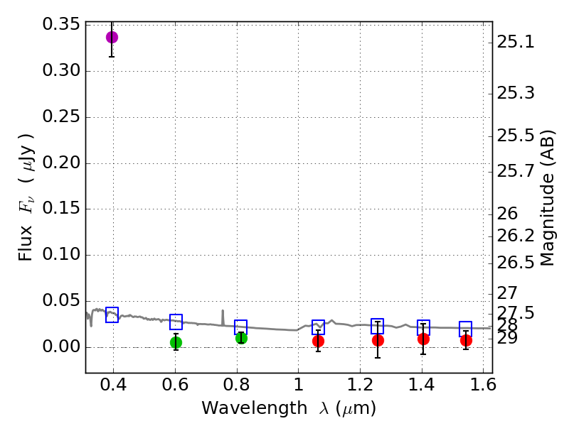
RXS0603+42-N IR detection object #3029

Color images and BPZ results
Catalog: 3029.cat
Black segments are analyzed here.   Roll mouse over color images to view segments.
Best viewed in a wide browser window (1200 pixels or more).   Download SED & P(z) plots to view larger versions.
In P(z) plots: Yellow lines mark the cluster redshift z = 0.228,  

Object #3029   x,y = (1850, 2552)   RA, Dec = (06:03:17.664, 42:15:50.76) = (90.82360, 42.26410)   BPZ = 1.700 [1.063--2.244]   type = 11.00 (SB11_A_0_l)   stellarity = 0.74   chisq2 = 49.33   ODDS = 0.44   z_cluster = 0.228