RXS0603+42-N IR detection object #3024

Color images and BPZ results
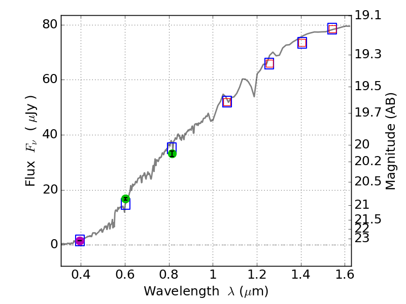
Catalog: 3024.cat
Black segments are analyzed here.   Roll mouse over color images to view segments.
Best viewed in a wide browser window (1200 pixels or more).   Download SED & P(z) plots to view larger versions.
In P(z) plots: Yellow lines mark the cluster redshift z = 0.228,  

Object #3024   x,y = (4190, 2551)   RA, Dec = (06:03:05.016, 42:15:50.76) = (90.77090, 42.26410)   BPZ = 0.386 [0.272--0.412]   type = 3.60 (Ell4_A_0 - Ell5_A_0)   stellarity = 0.92   chisq2 = 0.28   ODDS = 0.65   z_cluster = 0.228