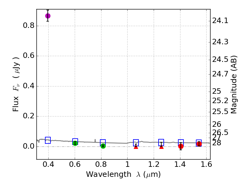
RXS0603+42-N IR detection object #3022

Color images and BPZ results
Catalog: 3022.cat
Black segments are analyzed here.   Roll mouse over color images to view segments.
Best viewed in a wide browser window (1200 pixels or more).   Download SED & P(z) plots to view larger versions.
In P(z) plots: Yellow lines mark the cluster redshift z = 0.228,  

Object #3022   x,y = (1715, 2552)   RA, Dec = (06:03:18.384, 42:15:50.76) = (90.82660, 42.26410)   BPZ = 1.700 [1.353--2.192]   type = 11.00 (SB11_A_0_l)   stellarity = 0.85   chisq2 = 130.60   ODDS = 0.45   z_cluster = 0.228