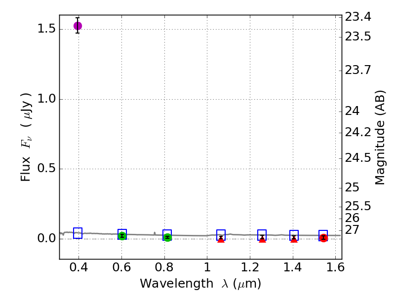
RXS0603+42-N IR detection object #2984

Color images and BPZ results
Catalog: 2984.cat
Black segments are analyzed here.   Roll mouse over color images to view segments.
Best viewed in a wide browser window (1200 pixels or more).   Download SED & P(z) plots to view larger versions.
In P(z) plots: Yellow lines mark the cluster redshift z = 0.228,  

Object #2984   x,y = (1694, 2561)   RA, Dec = (06:03:18.504, 42:15:51.48) = (90.82710, 42.26430)   BPZ = 1.700 [1.151--2.295]   type = 11.00 (SB11_A_0_l)   stellarity = 0.67   chisq2 = 188.60   ODDS = 0.43   z_cluster = 0.228