RXS0603+42-N IR detection object #2973

Color images and BPZ results
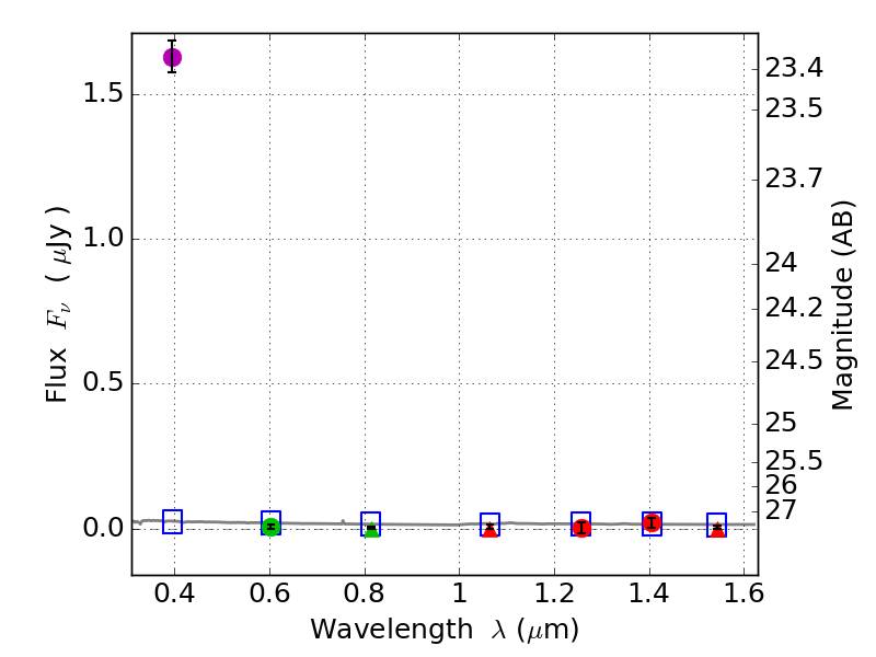
Catalog: 2973.cat
Black segments are analyzed here.   Roll mouse over color images to view segments.
Best viewed in a wide browser window (1200 pixels or more).   Download SED & P(z) plots to view larger versions.
In P(z) plots: Yellow lines mark the cluster redshift z = 0.228,  

Object #2973   x,y = (1688, 2573)   RA, Dec = (06:03:18.528, 42:15:52.20) = (90.82720, 42.26450)   BPZ = 1.697 [0.637--2.761]   type = 11.00 (SB11_A_0_l)   stellarity = 0.66   chisq2 = 206.20   ODDS = 0.28   z_cluster = 0.228