RXS0603+42-N IR detection object #2968

Color images and BPZ results
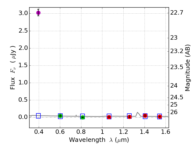
Catalog: 2968.cat
Black segments are analyzed here.   Roll mouse over color images to view segments.
Best viewed in a wide browser window (1200 pixels or more).   Download SED & P(z) plots to view larger versions.
In P(z) plots: Yellow lines mark the cluster redshift z = 0.228,  

Object #2968   x,y = (1743, 2571)   RA, Dec = (06:03:18.240, 42:15:51.84) = (90.82600, 42.26440)   BPZ = 1.694 [1.284--2.311]   type = 11.00 (SB11_A_0_l)   stellarity = 0.77   chisq2 = 248.30   ODDS = 0.40   z_cluster = 0.228