RXS0603+42-N IR detection object #2964

Color images and BPZ results
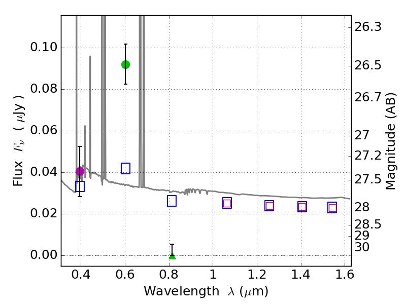
Catalog: 2964.cat
Black segments are analyzed here.   Roll mouse over color images to view segments.
Best viewed in a wide browser window (1200 pixels or more).   Download SED & P(z) plots to view larger versions.
In P(z) plots: Yellow lines mark the cluster redshift z = 0.228,  

Object #2964   x,y = (4271, 2575)   RA, Dec = (06:03:04.584, 42:15:52.20) = (90.76910, 42.26450)   BPZ = 0.024 [0.014--2.660]   type = 11.00 (SB11_A_0_l)   stellarity = 0.37   chisq2 = 44.17   ODDS = 0.26   z_cluster = 0.228