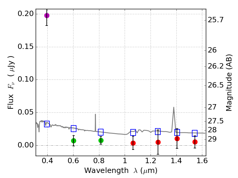
RXS0603+42-N IR detection object #2961

Color images and BPZ results
Catalog: 2961.cat
Black segments are analyzed here.   Roll mouse over color images to view segments.
Best viewed in a wide browser window (1200 pixels or more).   Download SED & P(z) plots to view larger versions.
In P(z) plots: Yellow lines mark the cluster redshift z = 0.228,  

Object #2961   x,y = (2330, 2669)   RA, Dec = (06:03:15.072, 42:15:57.96) = (90.81280, 42.26610)   BPZ = 1.763 [1.127--2.235]   type = 11.00 (SB11_A_0_l)   stellarity = 0.63   chisq2 = 31.71   ODDS = 0.44   z_cluster = 0.228