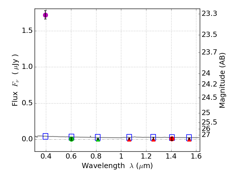
RXS0603+42-N IR detection object #2955

Color images and BPZ results
Catalog: 2955.cat
Black segments are analyzed here.   Roll mouse over color images to view segments.
Best viewed in a wide browser window (1200 pixels or more).   Download SED & P(z) plots to view larger versions.
In P(z) plots: Yellow lines mark the cluster redshift z = 0.228,  

Object #2955   x,y = (1759, 2577)   RA, Dec = (06:03:18.144, 42:15:52.20) = (90.82560, 42.26450)   BPZ = 1.700 [1.060--2.311]   type = 11.00 (SB11_A_0_l)   stellarity = 0.70   chisq2 = 222.60   ODDS = 0.42   z_cluster = 0.228