RXS0603+42-N IR detection object #2939

Color images and BPZ results
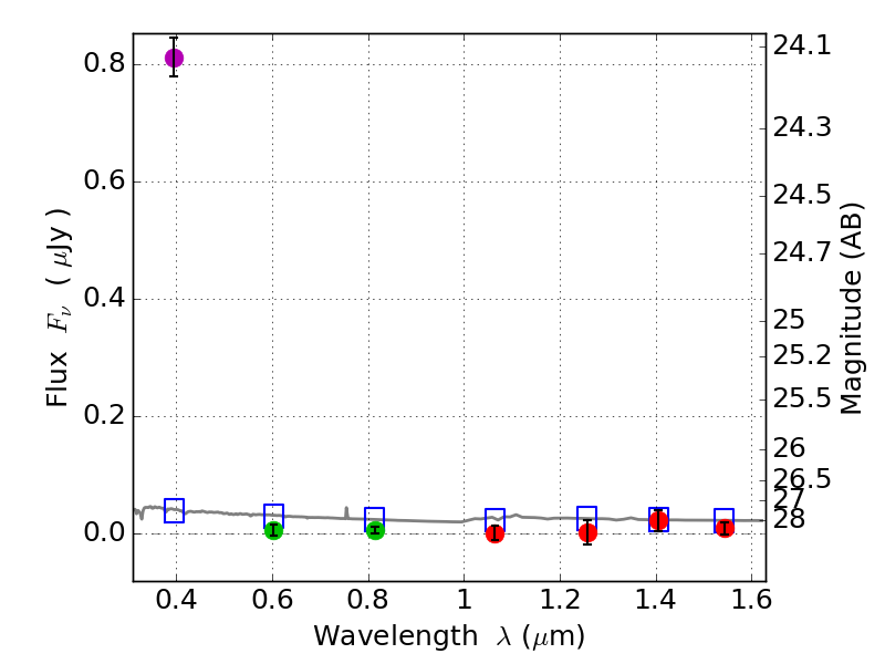
Catalog: 2939.cat
Black segments are analyzed here.   Roll mouse over color images to view segments.
Best viewed in a wide browser window (1200 pixels or more).   Download SED & P(z) plots to view larger versions.
In P(z) plots: Yellow lines mark the cluster redshift z = 0.228,  

Object #2939   x,y = (1883, 2583)   RA, Dec = (06:03:17.472, 42:15:52.56) = (90.82280, 42.26460)   BPZ = 1.698 [1.298--2.196]   type = 11.00 (SB11_A_0_l)   stellarity = 0.65   chisq2 = 136.90   ODDS = 0.48   z_cluster = 0.228