RXS0603+42-N IR detection object #2924

Color images and BPZ results
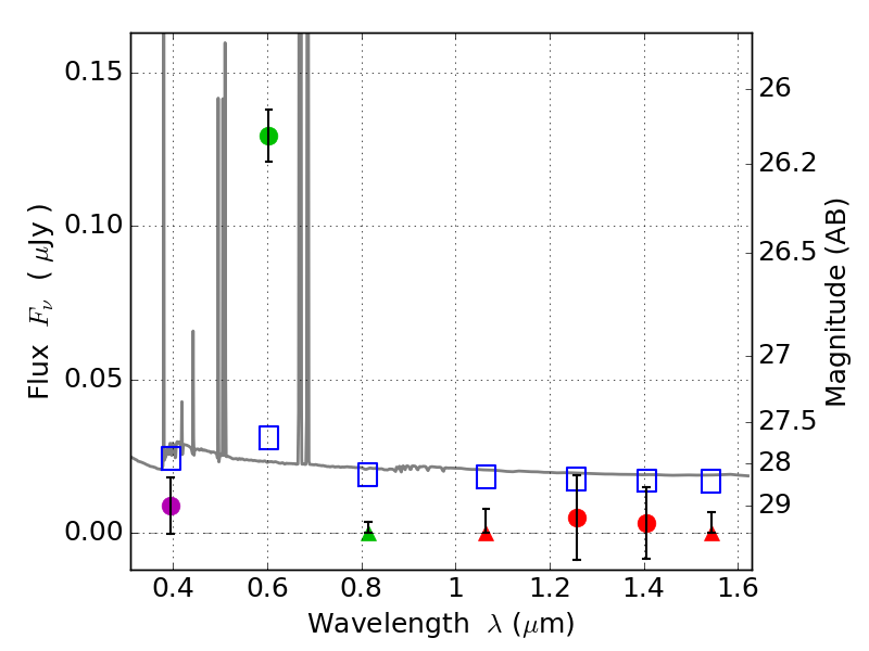
Catalog: 2924.cat
Black segments are analyzed here.   Roll mouse over color images to view segments.
Best viewed in a wide browser window (1200 pixels or more).   Download SED & P(z) plots to view larger versions.
In P(z) plots: Yellow lines mark the cluster redshift z = 0.228,  

Object #2924   x,y = (2060, 2588)   RA, Dec = (06:03:16.536, 42:15:52.92) = (90.81890, 42.26470)   BPZ = 0.023 [0.010--0.056]   type = 11.00 (SB11_A_0_l)   stellarity = 0.44   chisq2 = 41.17   ODDS = 0.98   z_cluster = 0.228