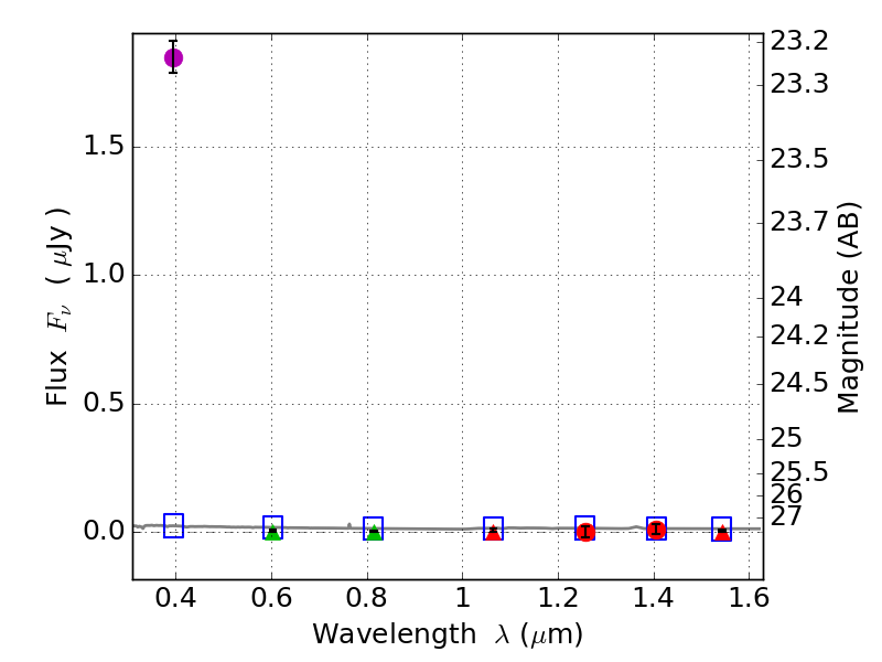
RXS0603+42-N IR detection object #2913

Color images and BPZ results
Catalog: 2913.cat
Black segments are analyzed here.   Roll mouse over color images to view segments.
Best viewed in a wide browser window (1200 pixels or more).   Download SED & P(z) plots to view larger versions.
In P(z) plots: Yellow lines mark the cluster redshift z = 0.228,  

Object #2913   x,y = (1718, 2590)   RA, Dec = (06:03:18.384, 42:15:52.92) = (90.82660, 42.26470)   BPZ = 1.730 [0.510--5.543]   type = 11.00 (SB11_A_0_l)   stellarity = 0.99   chisq2 = 206.70   ODDS = 0.22   z_cluster = 0.228