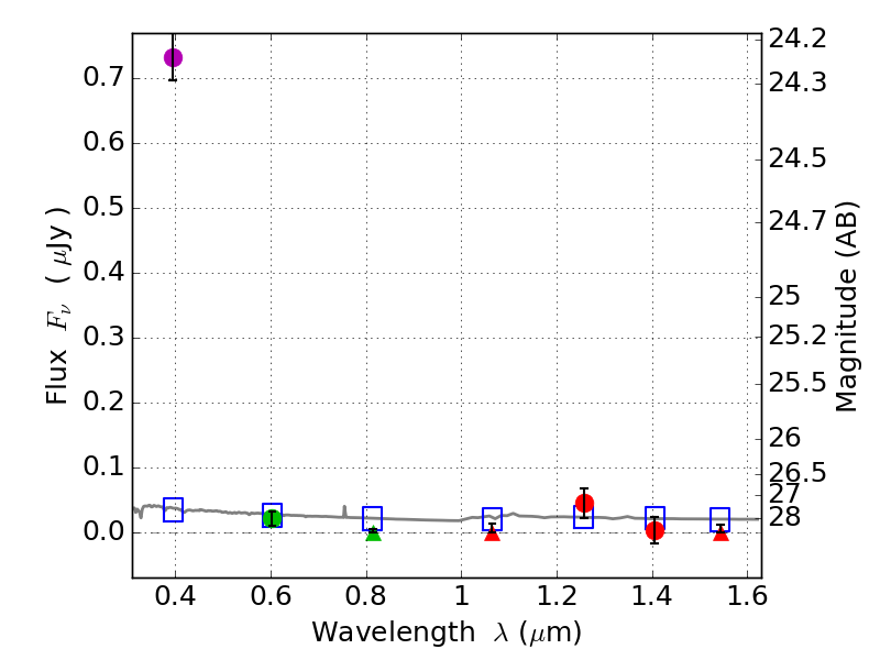
RXS0603+42-N IR detection object #2900

Color images and BPZ results
Catalog: 2900.cat
Black segments are analyzed here.   Roll mouse over color images to view segments.
Best viewed in a wide browser window (1200 pixels or more).   Download SED & P(z) plots to view larger versions.
In P(z) plots: Yellow lines mark the cluster redshift z = 0.228,  

Object #2900   x,y = (1699, 2593)   RA, Dec = (06:03:18.480, 42:15:53.28) = (90.82700, 42.26480)   BPZ = 1.697 [1.192--2.239]   type = 11.00 (SB11_A_0_l)   stellarity = 0.83   chisq2 = 97.86   ODDS = 0.49   z_cluster = 0.228