RXS0603+42-N IR detection object #29

Color images and BPZ results
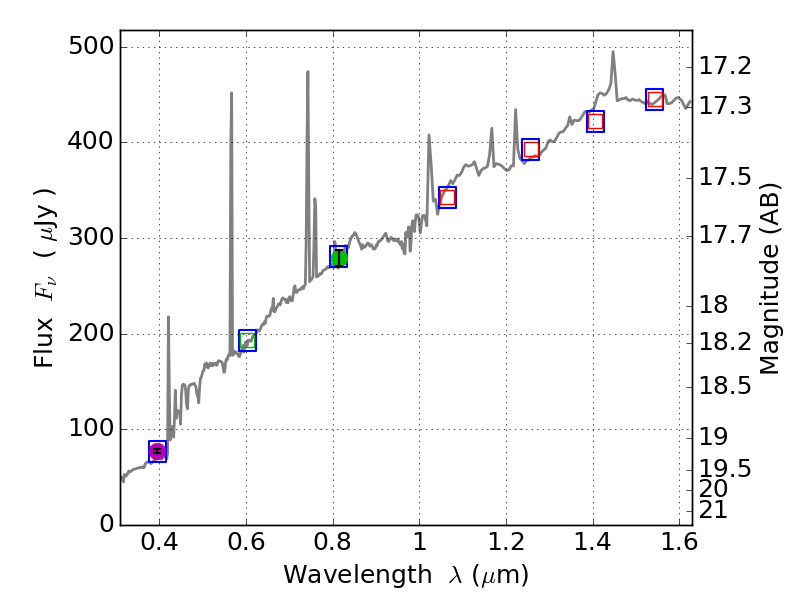
Catalog: 29.cat
Black segments are analyzed here.   Roll mouse over color images to view segments.
Best viewed in a wide browser window (1200 pixels or more).   Download SED & P(z) plots to view larger versions.
In P(z) plots: Yellow lines mark the cluster redshift z = 0.228,  

Object #29   x,y = (2409, 3809)   RA, Dec = (06:03:14.640, 42:17:06.36) = (90.81100, 42.28510)   BPZ = 0.130 [0.067--1.086]   type = 7.50 (SB1_B10 - Scd_B10)   stellarity = 0.97   chisq2 = 0.00   ODDS = 0.33   z_cluster = 0.228