RXS0603+42-N IR detection object #2888

Color images and BPZ results
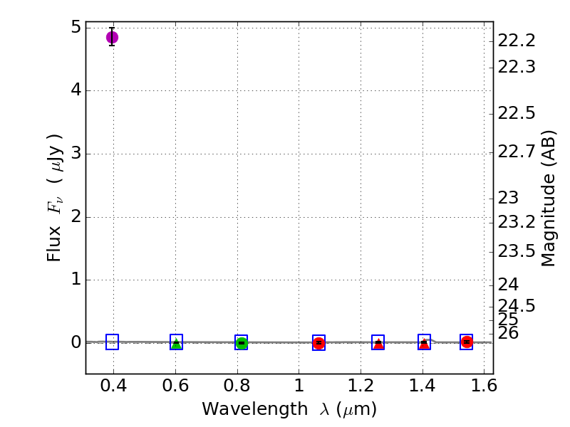
Catalog: 2888.cat
Black segments are analyzed here.   Roll mouse over color images to view segments.
Best viewed in a wide browser window (1200 pixels or more).   Download SED & P(z) plots to view larger versions.
In P(z) plots: Yellow lines mark the cluster redshift z = 0.228,  

Object #2888   x,y = (1751, 2582)   RA, Dec = (06:03:18.192, 42:15:52.56) = (90.82580, 42.26460)   BPZ = 1.855 [0.402--8.303]   type = 11.00 (SB11_A_0_l)   stellarity = 1.00   chisq2 = 277.20   ODDS = 0.10   z_cluster = 0.228