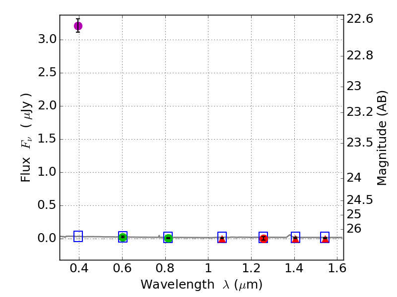
RXS0603+42-N IR detection object #2876

Color images and BPZ results
Catalog: 2876.cat
Black segments are analyzed here.   Roll mouse over color images to view segments.
Best viewed in a wide browser window (1200 pixels or more).   Download SED & P(z) plots to view larger versions.
In P(z) plots: Yellow lines mark the cluster redshift z = 0.228,  

Object #2876   x,y = (1836, 2604)   RA, Dec = (06:03:17.736, 42:15:54.00) = (90.82390, 42.26500)   BPZ = 1.763 [0.720--2.565]   type = 11.00 (SB11_A_0_l)   stellarity = 1.00   chisq2 = 265.80   ODDS = 0.31   z_cluster = 0.228