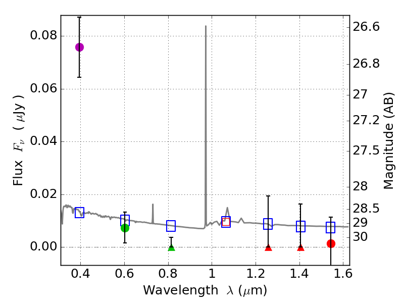
RXS0603+42-N IR detection object #2845

Color images and BPZ results
Catalog: 2845.cat
Black segments are analyzed here.   Roll mouse over color images to view segments.
Best viewed in a wide browser window (1200 pixels or more).   Download SED & P(z) plots to view larger versions.
In P(z) plots: Yellow lines mark the cluster redshift z = 0.228,  

Object #2845   x,y = (3913, 2617)   RA, Dec = (06:03:06.504, 42:15:54.72) = (90.77710, 42.26520)   BPZ = 1.612 [0.412--4.529]   type = 11.00 (SB11_A_0_l)   stellarity = 0.41   chisq2 = 11.75   ODDS = 0.16   z_cluster = 0.228