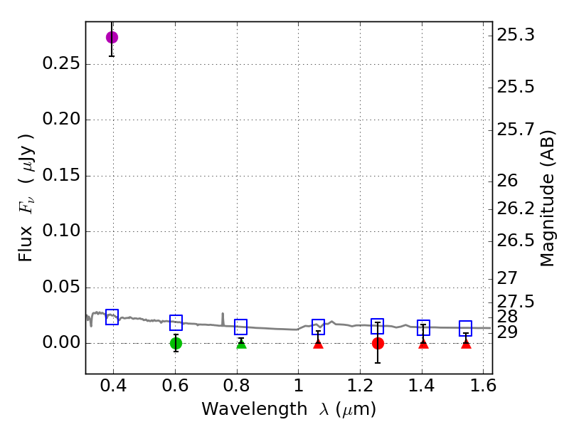
RXS0603+42-N IR detection object #2836

Color images and BPZ results
Catalog: 2836.cat
Black segments are analyzed here.   Roll mouse over color images to view segments.
Best viewed in a wide browser window (1200 pixels or more).   Download SED & P(z) plots to view larger versions.
In P(z) plots: Yellow lines mark the cluster redshift z = 0.228,  

Object #2836   x,y = (3117, 2619)   RA, Dec = (06:03:10.824, 42:15:54.72) = (90.79510, 42.26520)   BPZ = 1.700 [1.042--2.320]   type = 11.00 (SB11_A_0_l)   stellarity = 0.75   chisq2 = 54.98   ODDS = 0.41   z_cluster = 0.228