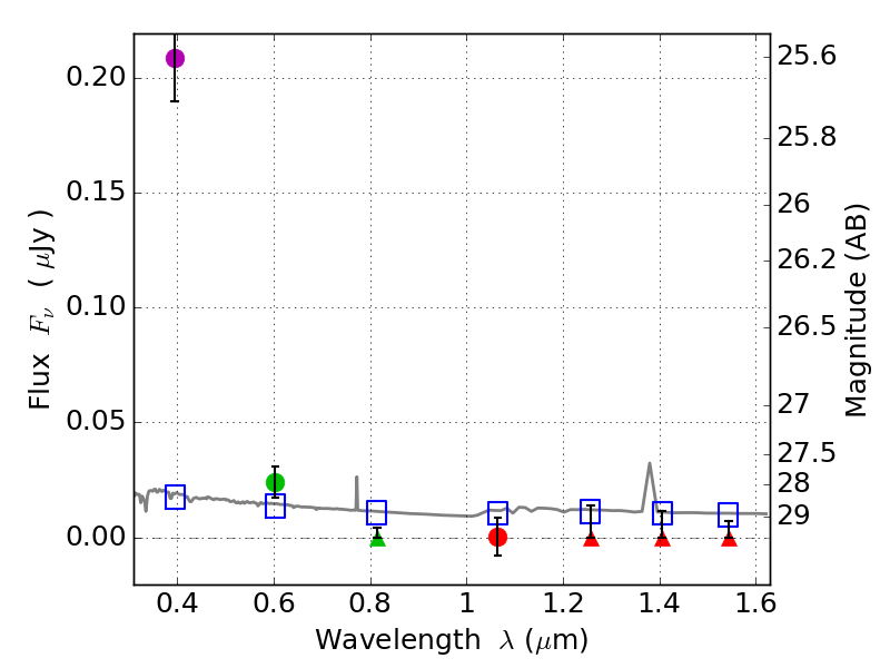
RXS0603+42-N IR detection object #2823

Color images and BPZ results
Catalog: 2823.cat
Black segments are analyzed here.   Roll mouse over color images to view segments.
Best viewed in a wide browser window (1200 pixels or more).   Download SED & P(z) plots to view larger versions.
In P(z) plots: Yellow lines mark the cluster redshift z = 0.228,  

Object #2823   x,y = (1744, 2623)   RA, Dec = (06:03:18.240, 42:15:55.08) = (90.82600, 42.26530)   BPZ = 1.763 [0.519--2.693]   type = 11.00 (SB11_A_0_l)   stellarity = 0.65   chisq2 = 28.11   ODDS = 0.28   z_cluster = 0.228