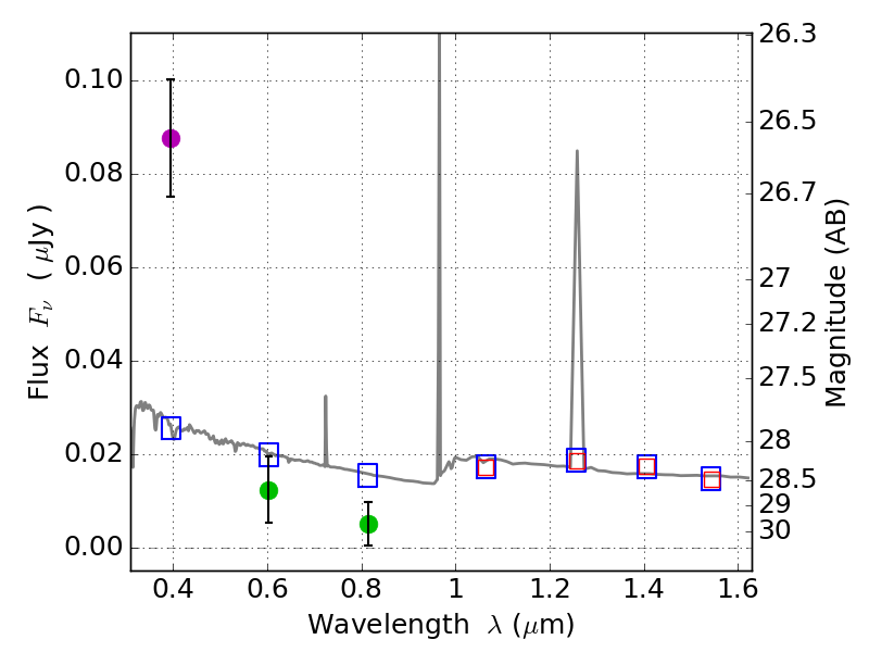
RXS0603+42-N IR detection object #2809

Color images and BPZ results
Catalog: 2809.cat
Black segments are analyzed here.   Roll mouse over color images to view segments.
Best viewed in a wide browser window (1200 pixels or more).   Download SED & P(z) plots to view larger versions.
In P(z) plots: Yellow lines mark the cluster redshift z = 0.228,  

Object #2809   x,y = (4137, 2630)   RA, Dec = (06:03:05.304, 42:15:55.44) = (90.77210, 42.26540)   BPZ = 1.595 [0.935--2.393]   type = 11.00 (SB11_A_0_l)   stellarity = 0.40   chisq2 = 29.30   ODDS = 0.24   z_cluster = 0.228