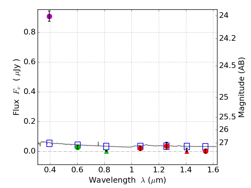
RXS0603+42-N IR detection object #2804

Color images and BPZ results
Catalog: 2804.cat
Black segments are analyzed here.   Roll mouse over color images to view segments.
Best viewed in a wide browser window (1200 pixels or more).   Download SED & P(z) plots to view larger versions.
In P(z) plots: Yellow lines mark the cluster redshift z = 0.228,  

Object #2804   x,y = (1846, 2632)   RA, Dec = (06:03:17.688, 42:15:55.80) = (90.82370, 42.26550)   BPZ = 1.701 [1.433--2.008]   type = 11.00 (SB11_A_0_l)   stellarity = 0.91   chisq2 = 149.40   ODDS = 0.67   z_cluster = 0.228