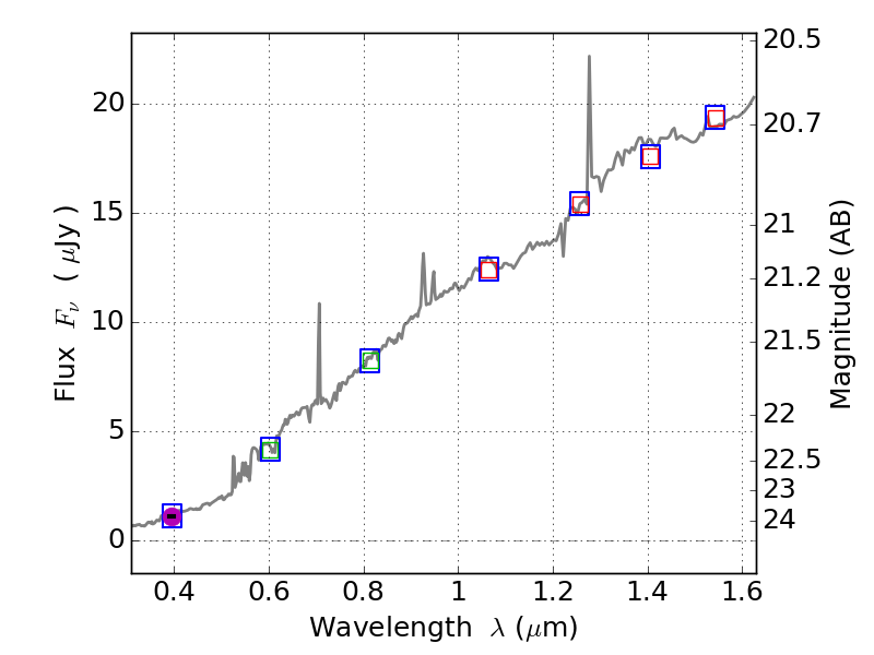
RXS0603+42-N IR detection object #2794

Color images and BPZ results
Catalog: 2794.cat
Black segments are analyzed here.   Roll mouse over color images to view segments.
Best viewed in a wide browser window (1200 pixels or more).   Download SED & P(z) plots to view larger versions.
In P(z) plots: Yellow lines mark the cluster redshift z = 0.228,  

Object #2794   x,y = (4843, 2635)   RA, Dec = (06:03:01.488, 42:15:55.80) = (90.75620, 42.26550)   BPZ = 0.411 [0.051--0.865]   type = 6.40 (Sbc_B10 - Scd_B10)   stellarity = 0.77   chisq2 = 990.00   ODDS = 0.20   z_cluster = 0.228