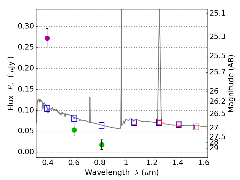
RXS0603+42-N IR detection object #2793

Color images and BPZ results
Catalog: 2793.cat
Black segments are analyzed here.   Roll mouse over color images to view segments.
Best viewed in a wide browser window (1200 pixels or more).   Download SED & P(z) plots to view larger versions.
In P(z) plots: Yellow lines mark the cluster redshift z = 0.228,  

Object #2793   x,y = (4303, 2636)   RA, Dec = (06:03:04.416, 42:15:55.80) = (90.76840, 42.26550)   BPZ = 1.593 [1.298--2.017]   type = 11.00 (SB11_A_0_l)   stellarity = 0.05   chisq2 = 61.54   ODDS = 0.43   z_cluster = 0.228