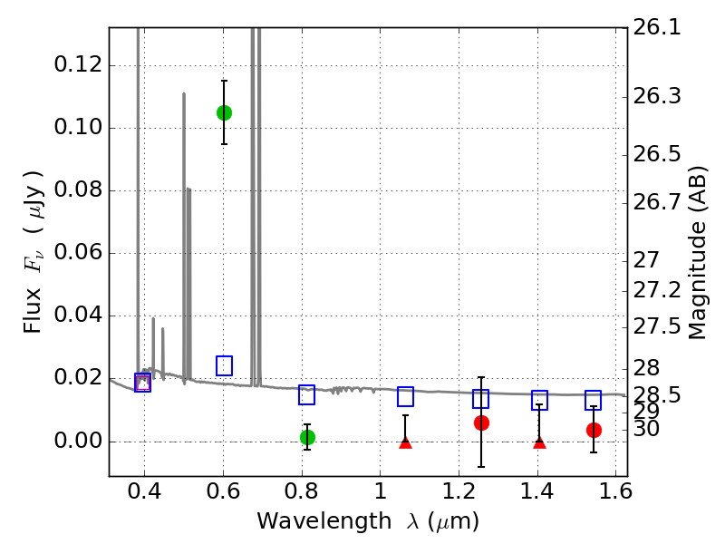
RXS0603+42-N IR detection object #2785

Color images and BPZ results
Catalog: 2785.cat
Black segments are analyzed here.   Roll mouse over color images to view segments.
Best viewed in a wide browser window (1200 pixels or more).   Download SED & P(z) plots to view larger versions.
In P(z) plots: Yellow lines mark the cluster redshift z = 0.228,  

Object #2785   x,y = (1621, 2641)   RA, Dec = (06:03:18.888, 42:15:56.16) = (90.82870, 42.26560)   BPZ = 0.029 [0.023--3.536]   type = 11.00 (SB11_A_0_l)   stellarity = 0.61   chisq2 = 25.84   ODDS = 0.09   z_cluster = 0.228