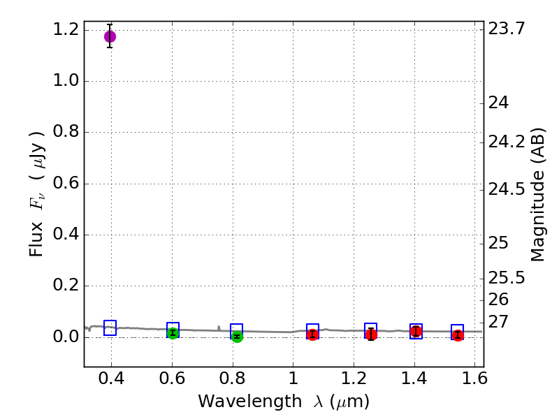
RXS0603+42-N IR detection object #2784

Color images and BPZ results
Catalog: 2784.cat
Black segments are analyzed here.   Roll mouse over color images to view segments.
Best viewed in a wide browser window (1200 pixels or more).   Download SED & P(z) plots to view larger versions.
In P(z) plots: Yellow lines mark the cluster redshift z = 0.228,  

Object #2784   x,y = (1728, 2641)   RA, Dec = (06:03:18.312, 42:15:56.16) = (90.82630, 42.26560)   BPZ = 1.698 [1.224--2.244]   type = 11.00 (SB11_A_0_l)   stellarity = 0.64   chisq2 = 160.20   ODDS = 0.45   z_cluster = 0.228