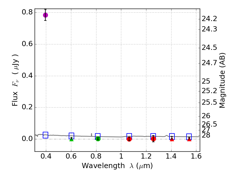
RXS0603+42-N IR detection object #2783

Color images and BPZ results
Catalog: 2783.cat
Black segments are analyzed here.   Roll mouse over color images to view segments.
Best viewed in a wide browser window (1200 pixels or more).   Download SED & P(z) plots to view larger versions.
In P(z) plots: Yellow lines mark the cluster redshift z = 0.228,  

Object #2783   x,y = (1736, 2640)   RA, Dec = (06:03:18.288, 42:15:56.16) = (90.82620, 42.26560)   BPZ = 1.731 [0.769--2.593]   type = 11.00 (SB11_A_0_l)   stellarity = 0.82   chisq2 = 116.90   ODDS = 0.32   z_cluster = 0.228