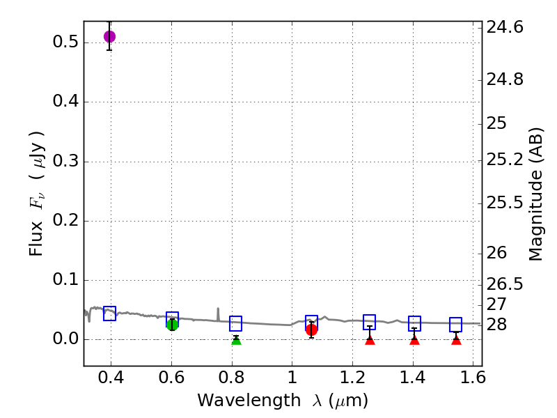
RXS0603+42-N IR detection object #2740

Color images and BPZ results
Catalog: 2740.cat
Black segments are analyzed here.   Roll mouse over color images to view segments.
Best viewed in a wide browser window (1200 pixels or more).   Download SED & P(z) plots to view larger versions.
In P(z) plots: Yellow lines mark the cluster redshift z = 0.228,  

Object #2740   x,y = (1825, 2658)   RA, Dec = (06:03:17.808, 42:15:57.24) = (90.82420, 42.26590)   BPZ = 1.702 [1.428--2.045]   type = 11.00 (SB11_A_0_l)   stellarity = 0.65   chisq2 = 98.47   ODDS = 0.63   z_cluster = 0.228