RXS0603+42-N IR detection object #2732

Color images and BPZ results
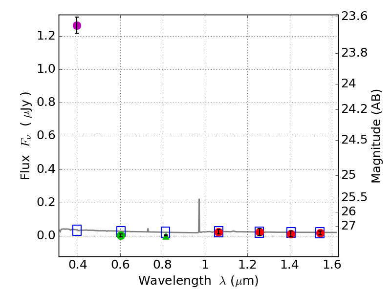
Catalog: 2732.cat
Black segments are analyzed here.   Roll mouse over color images to view segments.
Best viewed in a wide browser window (1200 pixels or more).   Download SED & P(z) plots to view larger versions.
In P(z) plots: Yellow lines mark the cluster redshift z = 0.228,  

Object #2732   x,y = (1743, 2656)   RA, Dec = (06:03:18.240, 42:15:57.24) = (90.82600, 42.26590)   BPZ = 1.612 [1.099--2.224]   type = 11.00 (SB11_A_0_l)   stellarity = 0.96   chisq2 = 170.50   ODDS = 0.36   z_cluster = 0.228