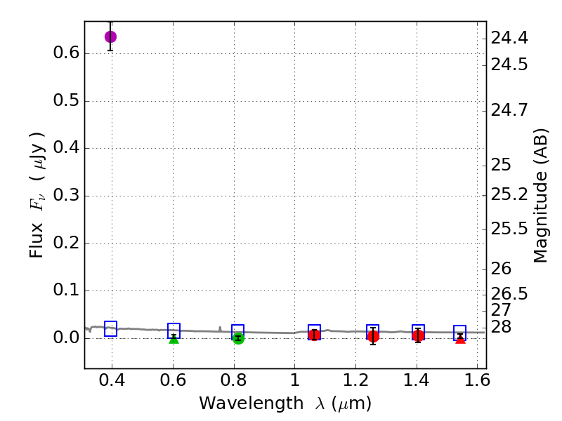
RXS0603+42-N IR detection object #2703

Color images and BPZ results
Catalog: 2703.cat
Black segments are analyzed here.   Roll mouse over color images to view segments.
Best viewed in a wide browser window (1200 pixels or more).   Download SED & P(z) plots to view larger versions.
In P(z) plots: Yellow lines mark the cluster redshift z = 0.228,  

Object #2703   x,y = (1767, 2668)   RA, Dec = (06:03:18.120, 42:15:57.60) = (90.82550, 42.26600)   BPZ = 1.701 [0.757--2.661]   type = 11.00 (SB11_A_0_l)   stellarity = 0.90   chisq2 = 106.60   ODDS = 0.32   z_cluster = 0.228