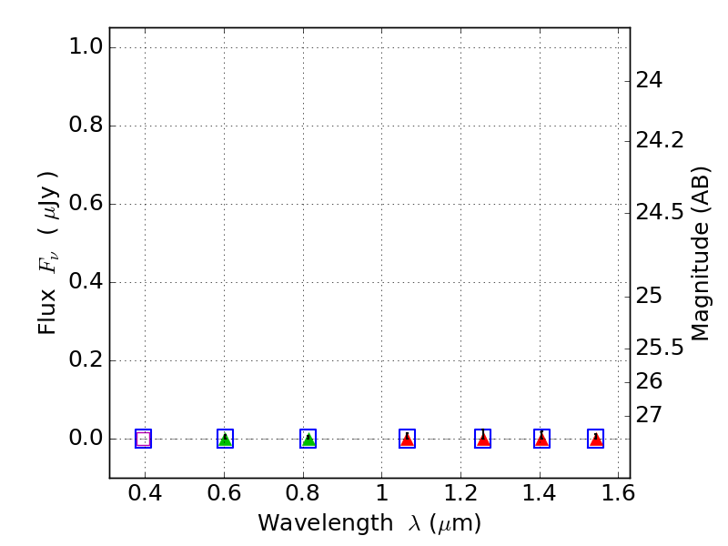
RXS0603+42-N IR detection object #2695

Color images and BPZ results
Catalog: 2695.cat
Black segments are analyzed here.   Roll mouse over color images to view segments.
Best viewed in a wide browser window (1200 pixels or more).   Download SED & P(z) plots to view larger versions.
In P(z) plots: Yellow lines mark the cluster redshift z = 0.228,  

Object #2695   x,y = (1731, 2673)   RA, Dec = (06:03:18.312, 42:15:57.96) = (90.82630, 42.26610)   BPZ = 1.312 [0.366--9.669]   type = 8.00 (SB1_B10)   stellarity = 1.00   chisq2 = 0.00   ODDS = 0.05   z_cluster = 0.228