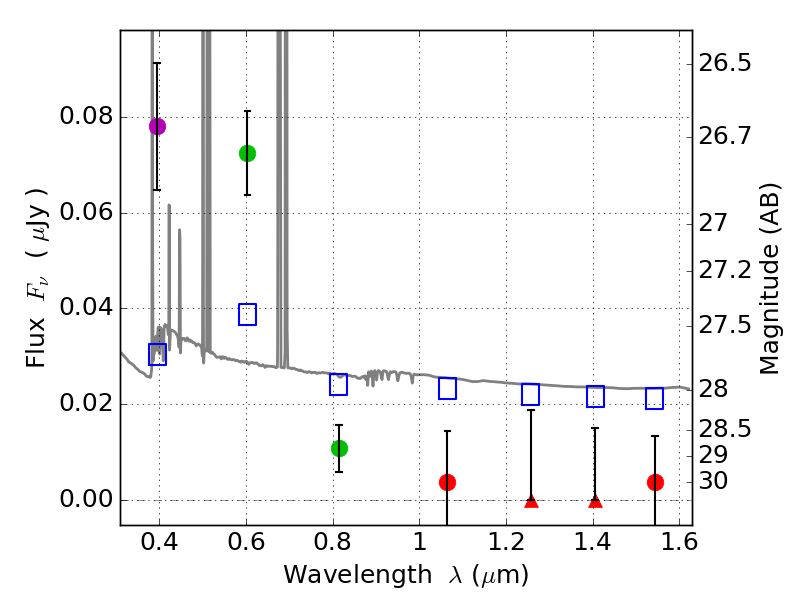
RXS0603+42-N IR detection object #2657

Color images and BPZ results
Catalog: 2657.cat
Black segments are analyzed here.   Roll mouse over color images to view segments.
Best viewed in a wide browser window (1200 pixels or more).   Download SED & P(z) plots to view larger versions.
In P(z) plots: Yellow lines mark the cluster redshift z = 0.228,  

Object #2657   x,y = (3655, 2686)   RA, Dec = (06:03:07.896, 42:15:58.68) = (90.78290, 42.26630)   BPZ = 0.026 [0.016--2.610]   type = 11.00 (SB11_A_0_l)   stellarity = 0.42   chisq2 = 10.44   ODDS = 0.17   z_cluster = 0.228