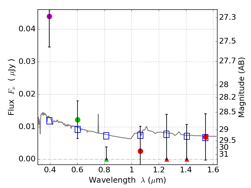
RXS0603+42-N IR detection object #2646

Color images and BPZ results
Catalog: 2646.cat
Black segments are analyzed here.   Roll mouse over color images to view segments.
Best viewed in a wide browser window (1200 pixels or more).   Download SED & P(z) plots to view larger versions.
In P(z) plots: Yellow lines mark the cluster redshift z = 0.228,  

Object #2646   x,y = (3696, 2691)   RA, Dec = (06:03:07.680, 42:15:59.04) = (90.78200, 42.26640)   BPZ = 1.701 [0.356--3.952]   type = 11.00 (SB11_A_0_l)   stellarity = 0.35   chisq2 = 4.11   ODDS = 0.14   z_cluster = 0.228