RXS0603+42-N IR detection object #2629

Color images and BPZ results
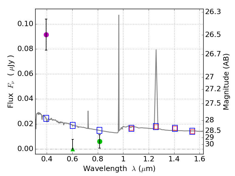
Catalog: 2629.cat
Black segments are analyzed here.   Roll mouse over color images to view segments.
Best viewed in a wide browser window (1200 pixels or more).   Download SED & P(z) plots to view larger versions.
In P(z) plots: Yellow lines mark the cluster redshift z = 0.228,  

Object #2629   x,y = (4209, 2699)   RA, Dec = (06:03:04.920, 42:15:59.76) = (90.77050, 42.26660)   BPZ = 1.595 [0.748--2.409]   type = 11.00 (SB11_A_0_l)   stellarity = 0.36   chisq2 = 36.77   ODDS = 0.21   z_cluster = 0.228