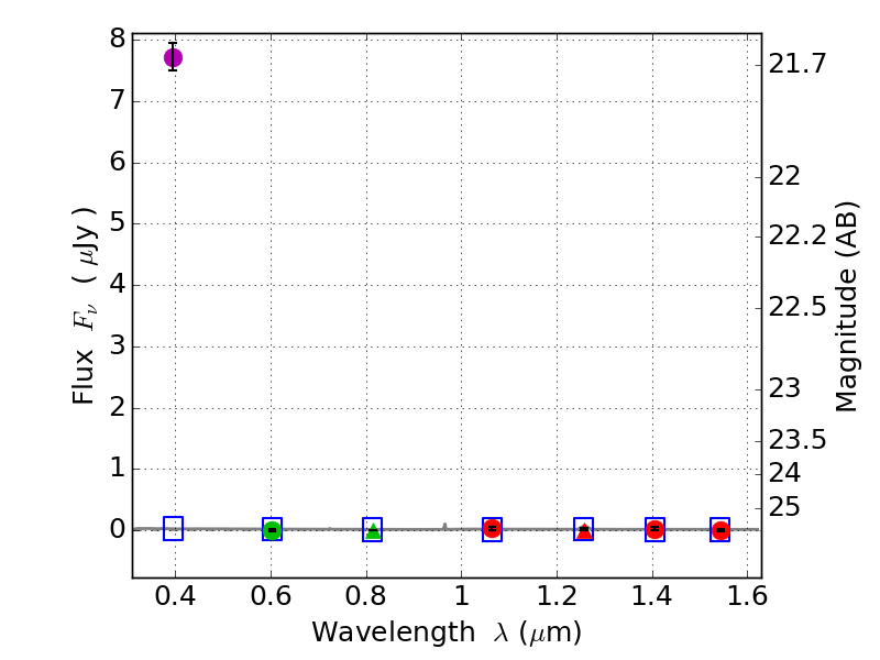
RXS0603+42-N IR detection object #2600

Color images and BPZ results
Catalog: 2600.cat
Black segments are analyzed here.   Roll mouse over color images to view segments.
Best viewed in a wide browser window (1200 pixels or more).   Download SED & P(z) plots to view larger versions.
In P(z) plots: Yellow lines mark the cluster redshift z = 0.228,  

Object #2600   x,y = (1756, 2708)   RA, Dec = (06:03:18.168, 42:16:00.12) = (90.82570, 42.26670)   BPZ = 1.587 [0.318--6.857]   type = 11.00 (SB11_A_0_l)   stellarity = 0.94   chisq2 = 286.50   ODDS = 0.09   z_cluster = 0.228