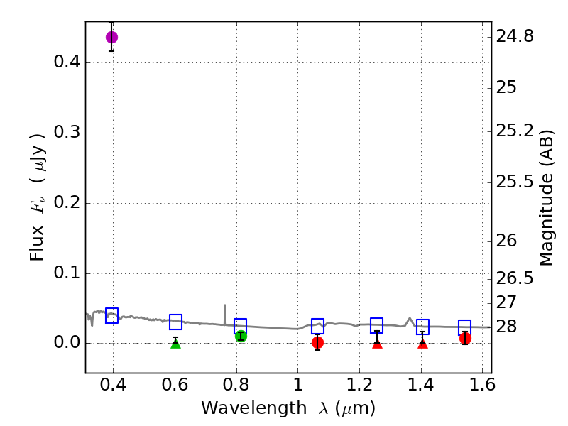
RXS0603+42-N IR detection object #2591

Color images and BPZ results
Catalog: 2591.cat
Black segments are analyzed here.   Roll mouse over color images to view segments.
Best viewed in a wide browser window (1200 pixels or more).   Download SED & P(z) plots to view larger versions.
In P(z) plots: Yellow lines mark the cluster redshift z = 0.228,  

Object #2591   x,y = (2491, 2712)   RA, Dec = (06:03:14.208, 42:16:00.48) = (90.80920, 42.26680)   BPZ = 1.732 [1.368--2.135]   type = 11.00 (SB11_A_0_l)   stellarity = 0.65   chisq2 = 94.40   ODDS = 0.54   z_cluster = 0.228