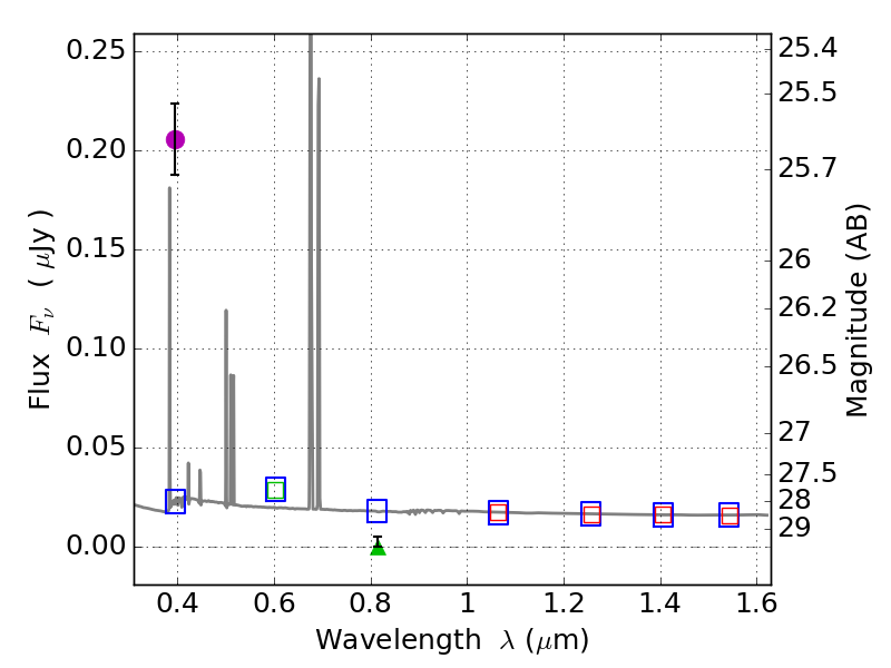
RXS0603+42-N IR detection object #257

Color images and BPZ results
Catalog: 257.cat
Black segments are analyzed here.   Roll mouse over color images to view segments.
Best viewed in a wide browser window (1200 pixels or more).   Download SED & P(z) plots to view larger versions.
In P(z) plots: Yellow lines mark the cluster redshift z = 0.228,  

Object #257   x,y = (2695, 3693)   RA, Dec = (06:03:13.104, 42:16:59.16) = (90.80460, 42.28310)   BPZ = 0.026 [0.011--0.726]   type = 11.00 (SB11_A_0_l)   stellarity = 0.69   chisq2 = 112.20   ODDS = 0.61   z_cluster = 0.228