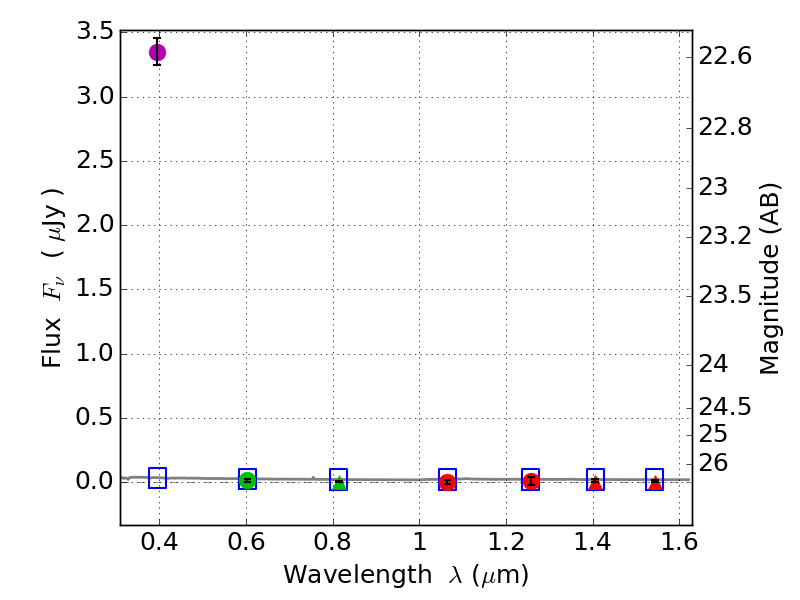
RXS0603+42-N IR detection object #2558

Color images and BPZ results
Catalog: 2558.cat
Black segments are analyzed here.   Roll mouse over color images to view segments.
Best viewed in a wide browser window (1200 pixels or more).   Download SED & P(z) plots to view larger versions.
In P(z) plots: Yellow lines mark the cluster redshift z = 0.228,  

Object #2558   x,y = (1768, 2720)   RA, Dec = (06:03:18.096, 42:16:00.84) = (90.82540, 42.26690)   BPZ = 1.700 [0.429--3.750]   type = 11.00 (SB11_A_0_l)   stellarity = 1.00   chisq2 = 250.70   ODDS = 0.23   z_cluster = 0.228