RXS0603+42-N IR detection object #2552

Color images and BPZ results
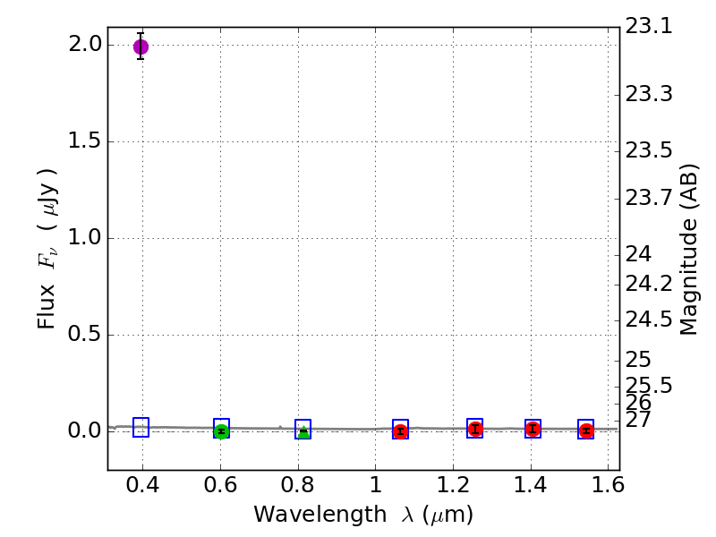
Catalog: 2552.cat
Black segments are analyzed here.   Roll mouse over color images to view segments.
Best viewed in a wide browser window (1200 pixels or more).   Download SED & P(z) plots to view larger versions.
In P(z) plots: Yellow lines mark the cluster redshift z = 0.228,  

Object #2552   x,y = (1786, 2729)   RA, Dec = (06:03:18.000, 42:16:01.56) = (90.82500, 42.26710)   BPZ = 1.696 [0.513--6.186]   type = 11.00 (SB11_A_0_l)   stellarity = 0.99   chisq2 = 217.30   ODDS = 0.19   z_cluster = 0.228