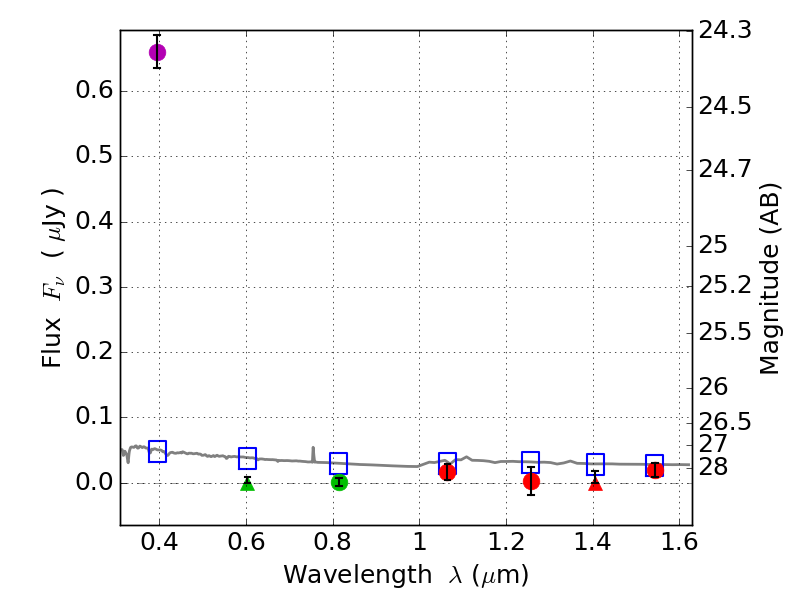
RXS0603+42-N IR detection object #2541

Color images and BPZ results
Catalog: 2541.cat
Black segments are analyzed here.   Roll mouse over color images to view segments.
Best viewed in a wide browser window (1200 pixels or more).   Download SED & P(z) plots to view larger versions.
In P(z) plots: Yellow lines mark the cluster redshift z = 0.228,  

Object #2541   x,y = (3634, 2732)   RA, Dec = (06:03:08.016, 42:16:01.56) = (90.78340, 42.26710)   BPZ = 1.701 [1.426--2.010]   type = 11.00 (SB11_A_0_l)   stellarity = 0.82   chisq2 = 156.90   ODDS = 0.62   z_cluster = 0.228