RXS0603+42-N IR detection object #2528

Color images and BPZ results
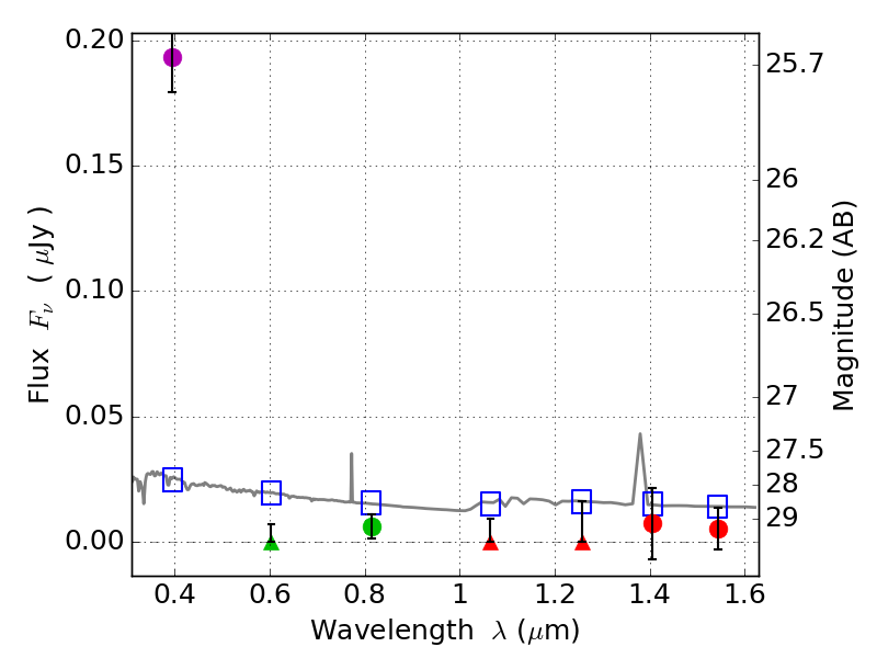
Catalog: 2528.cat
Black segments are analyzed here.   Roll mouse over color images to view segments.
Best viewed in a wide browser window (1200 pixels or more).   Download SED & P(z) plots to view larger versions.
In P(z) plots: Yellow lines mark the cluster redshift z = 0.228,  

Object #2528   x,y = (2196, 2736)   RA, Dec = (06:03:15.792, 42:16:01.92) = (90.81580, 42.26720)   BPZ = 1.763 [1.005--2.281]   type = 11.00 (SB11_A_0_l)   stellarity = 0.64   chisq2 = 37.92   ODDS = 0.38   z_cluster = 0.228