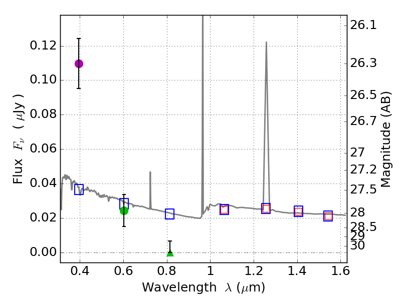
RXS0603+42-N IR detection object #2483

Color images and BPZ results
Catalog: 2483.cat
Black segments are analyzed here.   Roll mouse over color images to view segments.
Best viewed in a wide browser window (1200 pixels or more).   Download SED & P(z) plots to view larger versions.
In P(z) plots: Yellow lines mark the cluster redshift z = 0.228,  

Object #2483   x,y = (4160, 2745)   RA, Dec = (06:03:05.184, 42:16:02.28) = (90.77160, 42.26730)   BPZ = 1.594 [1.147--2.270]   type = 11.00 (SB11_A_0_l)   stellarity = 0.09   chisq2 = 35.28   ODDS = 0.30   z_cluster = 0.228