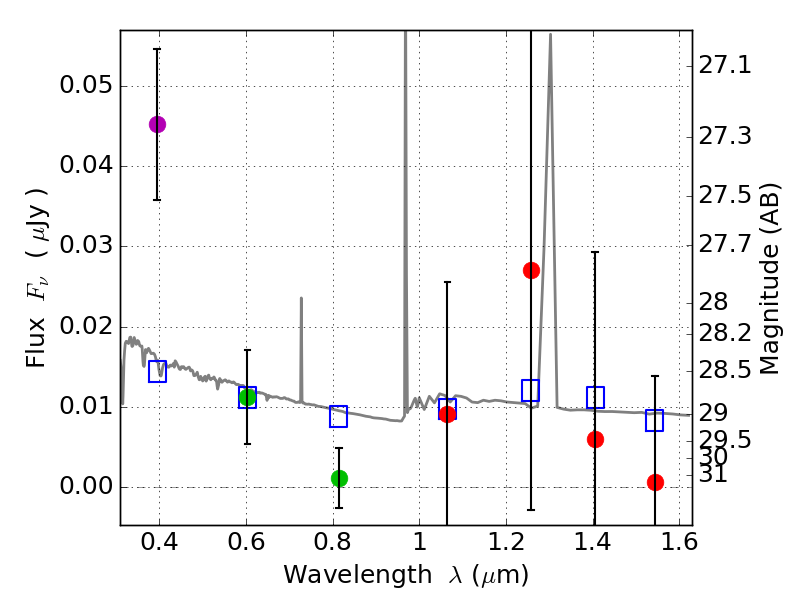
RXS0603+42-N IR detection object #2474

Color images and BPZ results
Catalog: 2474.cat
Black segments are analyzed here.   Roll mouse over color images to view segments.
Best viewed in a wide browser window (1200 pixels or more).   Download SED & P(z) plots to view larger versions.
In P(z) plots: Yellow lines mark the cluster redshift z = 0.228,  

Object #2474   x,y = (3898, 2827)   RA, Dec = (06:03:06.600, 42:16:07.32) = (90.77750, 42.26870)   BPZ = 1.600 [0.513--3.459]   type = 11.00 (SB11_A_0_l)   stellarity = 0.49   chisq2 = 3.79   ODDS = 0.17   z_cluster = 0.228