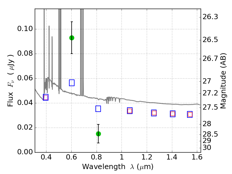
RXS0603+42-N IR detection object #245

Color images and BPZ results
Catalog: 245.cat
Black segments are analyzed here.   Roll mouse over color images to view segments.
Best viewed in a wide browser window (1200 pixels or more).   Download SED & P(z) plots to view larger versions.
In P(z) plots: Yellow lines mark the cluster redshift z = 0.228,  

Object #245   x,y = (2255, 3701)   RA, Dec = (06:03:15.480, 42:16:59.88) = (90.81450, 42.28330)   BPZ = 0.030 [0.042--3.227]   type = 11.00 (SB11_A_0_l)   stellarity = 0.69   chisq2 = 13.09   ODDS = 0.03   z_cluster = 0.228