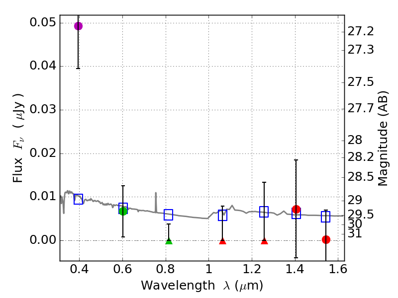
RXS0603+42-N IR detection object #2418

Color images and BPZ results
Catalog: 2418.cat
Black segments are analyzed here.   Roll mouse over color images to view segments.
Best viewed in a wide browser window (1200 pixels or more).   Download SED & P(z) plots to view larger versions.
In P(z) plots: Yellow lines mark the cluster redshift z = 0.228,  

Object #2418   x,y = (3777, 2769)   RA, Dec = (06:03:07.248, 42:16:03.72) = (90.78020, 42.26770)   BPZ = 1.697 [0.314--6.282]   type = 11.00 (SB11_A_0_l)   stellarity = 0.36   chisq2 = 4.97   ODDS = 0.11   z_cluster = 0.228