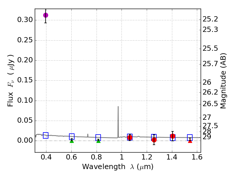
RXS0603+42-N IR detection object #2415

Color images and BPZ results
Catalog: 2415.cat
Black segments are analyzed here.   Roll mouse over color images to view segments.
Best viewed in a wide browser window (1200 pixels or more).   Download SED & P(z) plots to view larger versions.
In P(z) plots: Yellow lines mark the cluster redshift z = 0.228,  

Object #2415   x,y = (1847, 2771)   RA, Dec = (06:03:17.688, 42:16:04.08) = (90.82370, 42.26780)   BPZ = 1.610 [0.498--3.626]   type = 11.00 (SB11_A_0_l)   stellarity = 0.68   chisq2 = 58.15   ODDS = 0.21   z_cluster = 0.228