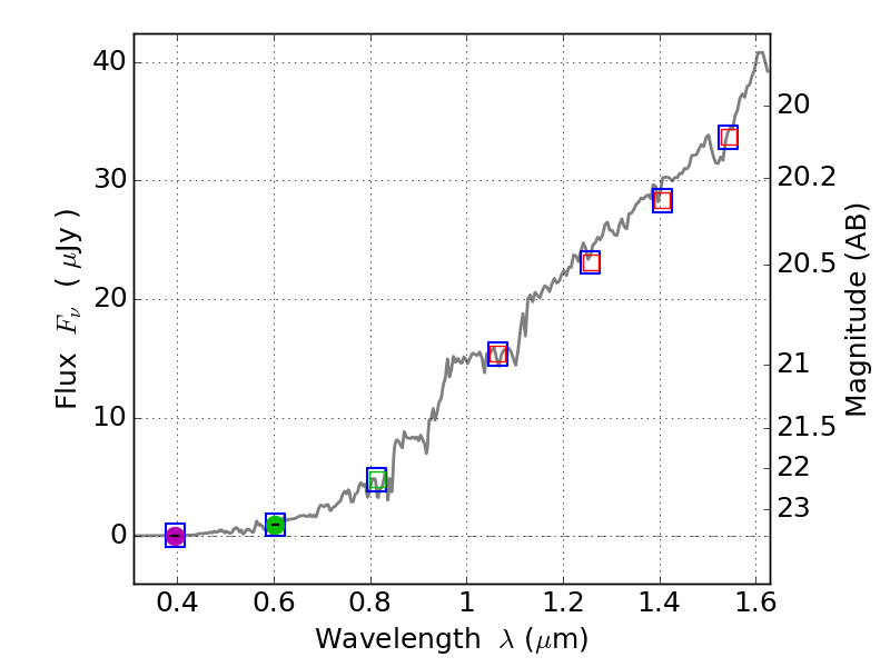
RXS0603+42-N IR detection object #2406

Color images and BPZ results
Catalog: 2406.cat
Black segments are analyzed here.   Roll mouse over color images to view segments.
Best viewed in a wide browser window (1200 pixels or more).   Download SED & P(z) plots to view larger versions.
In P(z) plots: Yellow lines mark the cluster redshift z = 0.228,  

Object #2406   x,y = (4683, 2770)   RA, Dec = (06:03:02.352, 42:16:03.72) = (90.75980, 42.26770)   BPZ = 1.133 [0.546--4.574]   type = 5.00 (ES0_B10)   stellarity = 0.86   chisq2 = 0.00   ODDS = 0.19   z_cluster = 0.228