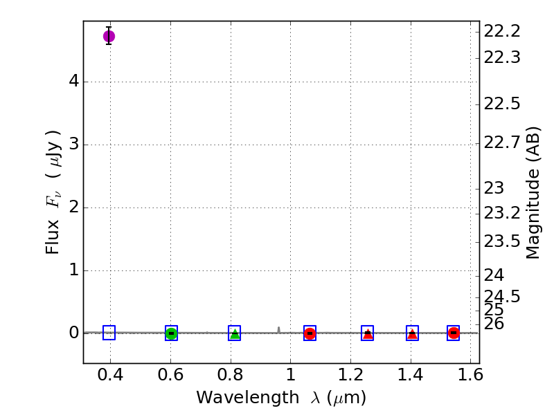
RXS0603+42-N IR detection object #2380

Color images and BPZ results
Catalog: 2380.cat
Black segments are analyzed here.   Roll mouse over color images to view segments.
Best viewed in a wide browser window (1200 pixels or more).   Download SED & P(z) plots to view larger versions.
In P(z) plots: Yellow lines mark the cluster redshift z = 0.228,  

Object #2380   x,y = (1833, 2776)   RA, Dec = (06:03:17.760, 42:16:04.44) = (90.82400, 42.26790)   BPZ = 1.584 [0.337--7.571]   type = 11.00 (SB11_A_0_l)   stellarity = 0.96   chisq2 = 280.40   ODDS = 0.08   z_cluster = 0.228