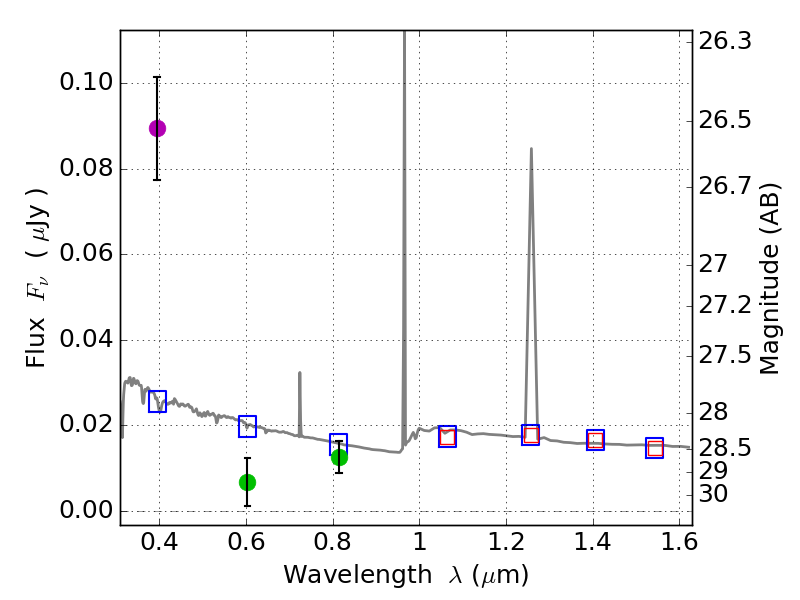
RXS0603+42-N IR detection object #238

Color images and BPZ results
Catalog: 238.cat
Black segments are analyzed here.   Roll mouse over color images to view segments.
Best viewed in a wide browser window (1200 pixels or more).   Download SED & P(z) plots to view larger versions.
In P(z) plots: Yellow lines mark the cluster redshift z = 0.228,  

Object #238   x,y = (2330, 3707)   RA, Dec = (06:03:15.072, 42:17:00.24) = (90.81280, 42.28340)   BPZ = 1.594 [0.776--2.327]   type = 11.00 (SB11_A_0_l)   stellarity = 0.40   chisq2 = 33.14   ODDS = 0.21   z_cluster = 0.228