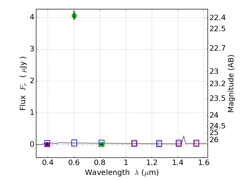
RXS0603+42-N IR detection object #2350

Color images and BPZ results
Catalog: 2350.cat
Black segments are analyzed here.   Roll mouse over color images to view segments.
Best viewed in a wide browser window (1200 pixels or more).   Download SED & P(z) plots to view larger versions.
In P(z) plots: Yellow lines mark the cluster redshift z = 0.228,  

Object #2350   x,y = (4198, 2966)   RA, Dec = (06:03:04.968, 42:16:15.60) = (90.77070, 42.27100)   BPZ = 2.882 [0.049--3.524]   type = 11.00 (SB11_A_0_l)   stellarity = 0.99   chisq2 = 1127.00   ODDS = 0.28   z_cluster = 0.228