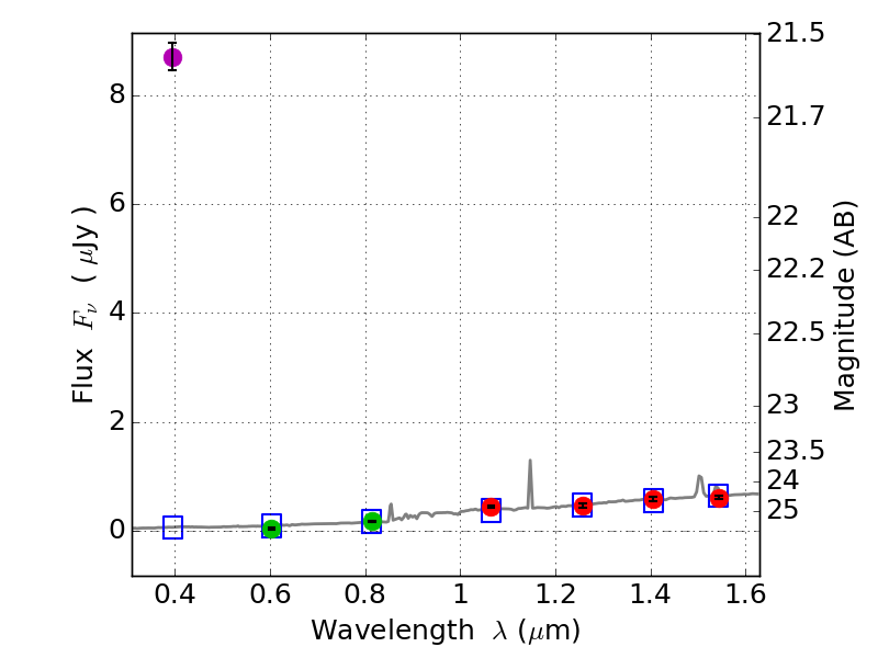
RXS0603+42-N IR detection object #2341

Color images and BPZ results
Catalog: 2341.cat
Black segments are analyzed here.   Roll mouse over color images to view segments.
Best viewed in a wide browser window (1200 pixels or more).   Download SED & P(z) plots to view larger versions.
In P(z) plots: Yellow lines mark the cluster redshift z = 0.228,  

Object #2341   x,y = (1814, 2784)   RA, Dec = (06:03:17.856, 42:16:04.80) = (90.82440, 42.26800)   BPZ = 1.293 [0.818--1.408]   type = 7.10 (Scd_B10 - SB1_B10)   stellarity = 0.94   chisq2 = 276.40   ODDS = 0.50   z_cluster = 0.228